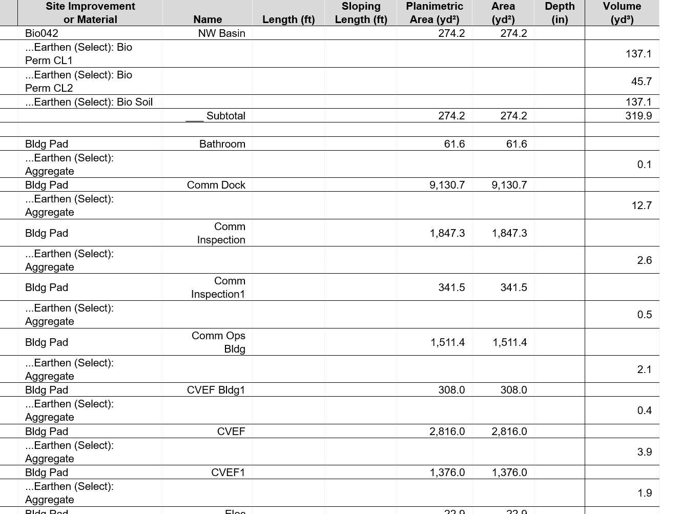
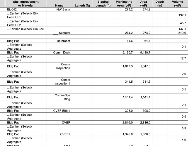
My Site Improvement Depths aren’t displayed in my final report. I used the Custom Takeoff Report command. I’m curious if anyone else has had this issue? See snippet below.
I have been trying to track this one down for a few weeks now - a user in Canafa had this issue and I can reproduce it but have no idea what is causing it .
We are releasing Smart Feature in the next two weeks and the reporting there is awesome and dynamically updated in line with changes to the areas or lengths and changes to material depths that you make in the properties pane.
Smart Feature creates Features for. Area, Length, Count, Length with secrional areas (yes multiple areas eg for curb subgrade) and length width features tbat can include elements like Rebar, tiebars and dowels / dowel baskets for concrete pavement takeoffs. You can assign lines, points or areas to features, the feature defines the layer, color, linestyle, name, color, Fill color and materials for the feature, and the quantities are added as dynamic attributes to the Feature lines, and the quantity report is created automatically in our integrated spreadsheet reporting tool. All Quantities are color. Oded by Feature type, material summaries are also determined automatically. You can also draw, track other lines, duicate lines, track Region (now with built in offset capability) and shrink wrap (now with dynamic adjust before accepting the solution. Features can be 2D or 3D, the 3D type (single elevation or varied elevation) is also defined as a function of the feature. We have also further enhanced the drawing of arcs, and added continuous smooth curves, and added the ability to draw length width areas like sidewalks and pavement lanes in an automated way.
This changes the way you work with TBC entirely - Feature based constructuble models are the way of the future and we are just starting here.
It is some of the coolest stuff we have done yet, and when you see what we are doing with Smart Profile and Smart Plot , it will change the way that you see TBC - we are just beginning to expose the true power of rhe TBC platform - exciting times!
Alan
Alan,
I can feel your passion is this text. Pretty cool stuff.
Looking forward to Smart Feature release!
